江苏恒兴新材料科技股份有限公司

Jiangsu Hengxing New Material Technology Co., Ltd.

公司专业研发和生产

有机酮、酸、酯、醇、醛、醚以及酸酐等


产品展示

products

Hengxing New Material Technology

产品类别

追求品质
合作共赢

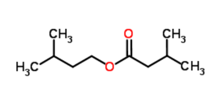
异戊酸异戊酯

别名 3-甲基丁酸异戊酯
英文名称 3-methylbutyl 3-methylbutanoate
CAS NO. 659-70-1
结构式
规格 ≥99%
江苏恒兴新材料科技股份有限公司

恒兴新材料科技

Hengxing New Material Technology

江苏恒兴新材料科技股份有限公司